假如我们有一个批次总共3000件,假如我们要求每一件的重量是200g正负5g,我们根据以往的经验,合格率在98%左右,根据经验合格率,我们大约需要抽检60件,就假设我们抽检100件。
我们抽取了100件,每件称量它的重量,就有100个重量数据,我们如何根据这个数据判定这一批产品的重量是否和我们的标准200g一致呢?
数据如下:
201.67,202.33,196.55,197.94,199.76,195.77,198.74,199.81,197.87,198.49,198.32,199.14,197.74,200.36,199.34,197.67,200.29,200.98,200.75,202.73,200.11,201.47,200.47,201.23,201.76,204.01,203,200.3,201.34,197.02,198.01,196.63,200.96,201.84,199.06,201.19,196.05,198.24,198.34,201.16,199,199.12,202.25,200.77,198.83,201,200.1,199.7,199.93,199.86,202.2,198.8,201.31,200.96,199.83,202.44,198.76,197.26,197.17,201.26,200.59,197.6,201.03,203.05,199.63,197.48,200.34,200.42,197.59,198.16,197.9,198.05,199.36,202.68,198.53,201.11,197.29,200.38,200.02,201.64,199.89,199.5,195.33,203.19,199.45,199.66,202.58,201.08,198.01,199.08,200.82,197.92,199.55,198.81,201.74,201.54,199.58,198.09,197.81,201.56
如果用SPC分析,如下:

会有以下这些问题:
数据均值是199.77,很接近200,但怎么判断是否一致呢?怎么才叫接近的?
数据没有超出上下3倍标准差,这个只是针对样本的均值和标准差来计算的,和规格中心没有关系。
Ca值是-0.04,说明和规则中心很接近,但这也没有说明怎么才叫接近。
SPC分析通常是基于时间顺序的,在这种情况下,样本的顺序确实会影响控制图的分析和判异。因此,如果我们无法确定抽检样本的顺序,那么使用SPC控制图来进行分析可能会带来不准确的结论。
所以,这个案例不应该用SPC分析。而是应该用:
单样本 T 检验可以用来判断样本均值是否显著不同于目标值。假设检验的原假设是样本均值等于目标值(200g),备择假设是样本均值不等于目标值。

结果是:
样本均值: 199.77
样本标准差: 1.83
样本数量: 100
t 统计量: -1.26
p值: 0.2116
目标值200.0在置信区间(199.4078, 200.1328)内,样本均值与目标值200.0没有显著差异。
样本均值与目标值200.0没有显著差异,无法拒绝原假设。(样本均值和目标值一致)。
上面的T检验,就是有根有据(详细根据,请查阅单样本T检验的理论)的说明在95%的置信水平,认为样本均值和目标值一致。
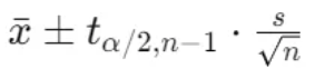
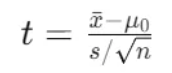
假设我们要检验的样本均值是
,样本标准差是s,样本大小是 𝑛,目标均值是 𝜇 (200g),那么 t 值可以通过以下公式计算:
![]()
置信区间公式:
![]()
![]()
t 统计量和 p 值:
如果 p 值小于显著水平(如0.05),则拒绝原假设,认为样本均值显著不同于200g。
如果 p 值大于显著水平,则无法拒绝原假设,认为样本均值与200g没有显著差异。
置信区间:
如果200g在置信区间内,则可以认为样本均值与200g没有显著差异。
如果200g不在置信区间内,则可以认为样本均值显著不同于200g。
用T统计量/P值和置信区间,这两种方法都可以判断样本的重量是否与目标值200g一致。
SPC并不适用于判断样本是否和规格中心一致,SPC是一个异常分析的工具。判断样本是否和规格中心一致,推荐使用单样本T检验。